| Author | 
		Message | 
	
		 
		Andy
 
 
 
    
		 | 
		
		
			
				  Posted: Sun Jan 23, 2005 6:22 pm    Post subject: integration problem...  | 
	
				
				 | 
			 
			 
				
  | 
			 
			
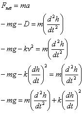
				yea umm hi guys, i have a phyx report due tomoro, and im stuck on this step.. cuz well we didnt learn integration and yea i kinda need it.. so if some one can lend a helping hand, that'd be great.. k and m and g are constants, and im supposed to find at t=3, v=?.. o and at t=0, v=64.9
 
 
		
	
  
          
					 
	
	
		
	 
	
		|  Description: | 
		
			
		 | 
	 
	
		|  Filesize: | 
		 9.72 KB | 
	 
	
		|  Viewed: | 
		 3284 Time(s) | 
	 
	
		
  
 
  | 
	 
	 
	 
				
 | 
			 
			
				 | 
			 
		  | 
	
	 
		 | 
		
		 | 
	
	
 
		  | 
	
		 
		Sponsor Sponsor 
		 
  
		 | 
		
 | 
	
	 
		  | 
	
				 
		Leftover
 
  
 
    
		 | 
		
		
			
				  Posted: Sun Jan 23, 2005 7:52 pm    Post subject: (No subject)  | 
	
				
				 | 
			 
			 
				
  | 
			 
			
				| Five
		
 | 
			 
			
				 | 
			 
		  | 
	
	 
		 | 
		
		 | 
	
	
 
		  | 
	
				 
		Andy
 
 
 
    
		 | 
		
		
			
				  Posted: Sun Jan 23, 2005 8:25 pm    Post subject: (No subject)  | 
	
				
				 | 
			 
			 
				
  | 
			 
			
				| wtf? do you not want your bits or something?
		
 | 
			 
			
				 | 
			 
		  | 
	
	 
		 | 
		
		 | 
	
	
 
		  | 
	
				 
		Andy
 
 
 
    
		 | 
		
		
			
				  Posted: Sun Jan 23, 2005 8:26 pm    Post subject: (No subject)  | 
	
				
				 | 
			 
			 
				
  | 
			 
			
				| die u mofo...
		
 | 
			 
			
				 | 
			 
		  | 
	
	 
		 | 
		
		 | 
	
	
 
		  | 
	
				 
		Leftover
 
  
 
    
		 | 
		
		
			
				  Posted: Sun Jan 23, 2005 10:37 pm    Post subject: (No subject)  | 
	
				
				 | 
			 
			 
				
  | 
			 
			
				Meh, either way...
 
 
That equation confused the hell out of me though, I will tell you that much. If only you had flamed me using proper english, I could call you smart  
		
 | 
			 
			
				 | 
			 
		  | 
	
	 
		 | 
		
		 | 
	
	
 
		  | 
	
				 
		Tony
 
  
 
    
		 | 
		
		
			
				  Posted: Sun Jan 23, 2005 10:51 pm    Post subject: (No subject)  | 
	
				
				 | 
			 
			 
				
  | 
			 
			
				ehh   What exactly are you trying to integrate there Andy? and in respect to what  
		
 | 
			 
			
				 | 
			 
		  | 
	
	 
		 | 
		
		 | 
	
	
 
		  | 
	
				 
		AsianSensation
 
 
 
    
		 | 
		
		
			
				  Posted: Sun Jan 23, 2005 11:32 pm    Post subject: (No subject)  | 
	
				
				 | 
			 
			 
				
  | 
			 
			
				f = ma
 
a = dv/dt
 
chain rule
 
a = dv/dh * dh/dt
 
dh/dt = velocity
 
 
You probably need some other piece of information to set up a equation though. Then isolate dh, integrate both sides.
		
 | 
			 
			
				 | 
			 
		  | 
	
	 
		 | 
		
		 | 
	
	
 
		  | 
	
				 
		Andy
 
 
 
    
		 | 
		
		
			
				  Posted: Mon Jan 24, 2005 4:16 pm    Post subject: (No subject)  | 
	
				
				 | 
			 
			 
				
  | 
			 
			
				| but i dont have velocity at that point.. i only have time.. and the initial velocity
		
 | 
			 
			
				 | 
			 
		  | 
	
	 
		 | 
		
		 | 
	
	
 
		  | 
	
		 
		Sponsor Sponsor 
		 
  
		 | 
		
 | 
	
	 
		  | 
	
				 
		 |